I want to make the edges shown in the figure smooth. I have used interpolation but I want to makes these edges more smooth. Please help me.Below is my code. clear all; close all; clc; x= [0,0.1,0.2,0.3,0.4,0.5,0.6,0.7,0.8,0.9,1]; y1 = [0 0.0833 0.1583 0.2167 0.1500 0.3250 0.3750 0.3000 0.5917 0.3750 0.5000]; y2= [ 0 0 0.0167 0.0750 0.1000 0.0917 0.1167 0.1583 0.1083 0.2000 0.1833]; figure(1) plot (x,y1) hold on plot (x,y2) figure (2) Xi = 0:0.005:1; Yi = pchip(x,y1,Xi); plot(Xi,Yi) hold on Yj = pchip(x,y2,Xi); plot(Xi,Yj)
John Williams answered .
2025-11-20
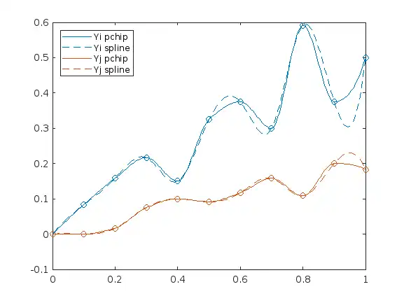
If you want a smoother interpolation result, spline can be a better way for you.
x= [0,0.1,0.2,0.3,0.4,0.5,0.6,0.7,0.8,0.9,1]; y1 = [0 0.0833 0.1583 0.2167 0.1500 0.3250 0.3750 0.3000 0.5917 0.3750 0.5000]; y2= [ 0 0 0.0167 0.0750 0.1000 0.0917 0.1167 0.1583 0.1083 0.2000 0.1833]; figure plot (x,y1,'o') hold on plot (x,y2,'o') Xi = 0:0.005:1; Yi = pchip(x,y1,Xi); Yi_spline = spline(x,y1,Xi); h(1) = plot(Xi,Yi,'-','color',lines(1)); h(2) = plot(Xi, Yi_spline, '--', 'color', lines(1)); Yj = pchip(x,y2,Xi); Yj_spline = spline(x, y2, Xi); h(3) = plot(Xi,Yj,'-','color',[0.85, 0.325, 0.098]); h(4) = plot(Xi,Yj_spline,'--','color',[0.85, 0.325, 0.098]); legend(h, "Yi pchip", "Yi spline", "Yj pchip", "Yj spline", "location", "NW")
